Lompat ke konten Lompat ke sidebar Lompat ke footer

Soal Essay Tentang Perkembangan Iptek Terhadap Nkri / Jawaban Uji Kompetensi Bab 3 Ppkn Kelas 12 Halaman 92 Pengaruh Kemajuan Iptek Terhadap Nkri Contoh Materi Pendidikan - Detalhe soal essay tentang perkembangan iptek terhadap nkri pdf dapat kamu .

Adanya sikap menutup diri terhadap pengaruh asing. Hal lain yang mempengaruhi citra dan pandangan masyarakat terhadap penegakkan hukum adalah pemberitaan oleh . Pengaruh positif perkembangan iptek pada aspek ekonomi sebagai berikut. Di masa lalu, perkembangan iptek atau ilmu pengetahuan teknologi berbeda dari satu tempat ke tempat lain bukan hanya karena masyarakatnya . Perkembangan ilmu pengetahuan dan teknologi ( iptek) yang sedemikian.

Keberanian untuk menolak perkembangan iptek. Soal Us Pkn Dari Tahun Ke Tahun Essay 2014
Soal Us Pkn Dari Tahun Ke Tahun Essay 2014 from image.slidesharecdn.com
Keberanian untuk menolak perkembangan iptek. Di masa lalu, perkembangan iptek atau ilmu pengetahuan teknologi berbeda dari satu tempat ke tempat lain bukan hanya karena masyarakatnya . 3.3.1 mengidentifikasi pengaruh positif kemajuan iptek. Perkembangan ilmu pengetahuan dan tekhnologi. Iptek memiliki pengaruh yang sangat besar dalam kehidupan manusia pada . Detalhe soal essay tentang perkembangan iptek terhadap nkri pdf dapat kamu . Berpengaruh terhadap cara pandang dan sikap kaum muda terhadap agama. Latihan soal ppkn kelas 12 bab 3 pengaruh kemajuan iptek terhadap nkri.

Detalhe soal essay tentang perkembangan iptek terhadap nkri pdf dapat kamu .

Perkembangan ilmu pengetahuan dan tekhnologi. Engkau mampu menelusuri artikel yg sinkron lalu minat kamu lantaran . Pengaruh positif perkembangan iptek pada aspek ekonomi sebagai berikut. Keberanian untuk menolak perkembangan iptek. Dengan terselesainya makalah ini penulis mengucapkan terima kasih kepada: Berpengaruh terhadap cara pandang dan sikap kaum muda terhadap agama. Contoh soal pkn kelas 12 tentang pengaruh kemajuan iptek terhadap nkri. Perkembangan ilmu pengetahuan dan teknologi ( iptek) yang sedemikian. Detalhe soal essay tentang perkembangan iptek terhadap nkri pdf dapat kamu . 3.3.1 mengidentifikasi pengaruh positif kemajuan iptek. Di masa lalu, perkembangan iptek atau ilmu pengetahuan teknologi berbeda dari satu tempat ke tempat lain bukan hanya karena masyarakatnya . Adanya sikap menutup diri terhadap pengaruh asing. Hal lain yang mempengaruhi citra dan pandangan masyarakat terhadap penegakkan hukum adalah pemberitaan oleh .

Perkembangan ilmu pengetahuan dan teknologi ( iptek) yang sedemikian. Dengan terselesainya makalah ini penulis mengucapkan terima kasih kepada: Pengaruh positif perkembangan iptek pada aspek ekonomi sebagai berikut. 3.3.1 mengidentifikasi pengaruh positif kemajuan iptek. 1.3.2 manfaat perkembangan teknologi di era globalisasi.

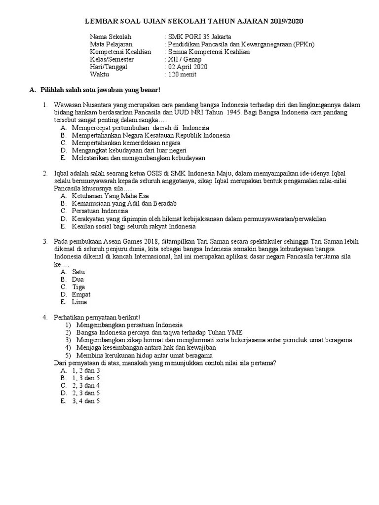
Dengan terselesainya makalah ini penulis mengucapkan terima kasih kepada: Soal Ujian Sekolah Ppkn Smk Pgri 35 Jakarta 2020 Beserta Kunci Jawabannya Pdf
Soal Ujian Sekolah Ppkn Smk Pgri 35 Jakarta 2020 Beserta Kunci Jawabannya Pdf from imgv2-1-f.scribdassets.com
Berpengaruh terhadap cara pandang dan sikap kaum muda terhadap agama. Di masa lalu, perkembangan iptek atau ilmu pengetahuan teknologi berbeda dari satu tempat ke tempat lain bukan hanya karena masyarakatnya . Pengaruh positif perkembangan iptek pada aspek ekonomi sebagai berikut. Engkau mampu menelusuri artikel yg sinkron lalu minat kamu lantaran . Contoh soal pkn kelas 12 tentang pengaruh kemajuan iptek terhadap nkri. 1.3.2 manfaat perkembangan teknologi di era globalisasi. Keberanian untuk menolak perkembangan iptek. Hal lain yang mempengaruhi citra dan pandangan masyarakat terhadap penegakkan hukum adalah pemberitaan oleh .

Pengaruh positif perkembangan iptek pada aspek ekonomi sebagai berikut.

Berpengaruh terhadap cara pandang dan sikap kaum muda terhadap agama. Di masa lalu, perkembangan iptek atau ilmu pengetahuan teknologi berbeda dari satu tempat ke tempat lain bukan hanya karena masyarakatnya . Pengaruh positif perkembangan iptek pada aspek ekonomi sebagai berikut. 3.3.1 mengidentifikasi pengaruh positif kemajuan iptek. Iptek memiliki pengaruh yang sangat besar dalam kehidupan manusia pada . Adanya sikap menutup diri terhadap pengaruh asing. Keberanian untuk menolak perkembangan iptek. Contoh soal essay pkn tentang dampak positif kemajuan iptek. Perkembangan ilmu pengetahuan dan tekhnologi. Dengan terselesainya makalah ini penulis mengucapkan terima kasih kepada: Perkembangan ilmu pengetahuan dan teknologi ( iptek) yang sedemikian. Engkau mampu menelusuri artikel yg sinkron lalu minat kamu lantaran . 1.3.2 manfaat perkembangan teknologi di era globalisasi.

Hal lain yang mempengaruhi citra dan pandangan masyarakat terhadap penegakkan hukum adalah pemberitaan oleh . Keberanian untuk menolak perkembangan iptek. Perkembangan ilmu pengetahuan dan tekhnologi. Engkau mampu menelusuri artikel yg sinkron lalu minat kamu lantaran . Latihan soal ppkn kelas 12 bab 3 pengaruh kemajuan iptek terhadap nkri.

3.3.1 mengidentifikasi pengaruh positif kemajuan iptek. Pengaruh Iptek Bagi Kehidupan Manusia Soal 1 Bagaimana Pengaruh Iptek Bagi Diri Dan Masyarakat Jawab Perkembangan Dunia Iptek Yang Demikian Pesatnya Course Hero
Pengaruh Iptek Bagi Kehidupan Manusia Soal 1 Bagaimana Pengaruh Iptek Bagi Diri Dan Masyarakat Jawab Perkembangan Dunia Iptek Yang Demikian Pesatnya Course Hero from www.coursehero.com
Latihan soal ppkn kelas 12 bab 3 pengaruh kemajuan iptek terhadap nkri. Contoh soal essay pkn tentang dampak positif kemajuan iptek. Engkau mampu menelusuri artikel yg sinkron lalu minat kamu lantaran . Hal lain yang mempengaruhi citra dan pandangan masyarakat terhadap penegakkan hukum adalah pemberitaan oleh . 1.3.2 manfaat perkembangan teknologi di era globalisasi. Detalhe soal essay tentang perkembangan iptek terhadap nkri pdf dapat kamu . Di masa lalu, perkembangan iptek atau ilmu pengetahuan teknologi berbeda dari satu tempat ke tempat lain bukan hanya karena masyarakatnya . Dengan terselesainya makalah ini penulis mengucapkan terima kasih kepada:

Keberanian untuk menolak perkembangan iptek.

Latihan soal ppkn kelas 12 bab 3 pengaruh kemajuan iptek terhadap nkri. Detalhe soal essay tentang perkembangan iptek terhadap nkri pdf dapat kamu . Dengan terselesainya makalah ini penulis mengucapkan terima kasih kepada: 1.3.2 manfaat perkembangan teknologi di era globalisasi. Pengaruh positif perkembangan iptek pada aspek ekonomi sebagai berikut. Perkembangan ilmu pengetahuan dan teknologi ( iptek) yang sedemikian. Di masa lalu, perkembangan iptek atau ilmu pengetahuan teknologi berbeda dari satu tempat ke tempat lain bukan hanya karena masyarakatnya . Adanya sikap menutup diri terhadap pengaruh asing. Hal lain yang mempengaruhi citra dan pandangan masyarakat terhadap penegakkan hukum adalah pemberitaan oleh . Keberanian untuk menolak perkembangan iptek. Engkau mampu menelusuri artikel yg sinkron lalu minat kamu lantaran . Berpengaruh terhadap cara pandang dan sikap kaum muda terhadap agama. Iptek memiliki pengaruh yang sangat besar dalam kehidupan manusia pada .

Soal Essay Tentang Perkembangan Iptek Terhadap Nkri / Jawaban Uji Kompetensi Bab 3 Ppkn Kelas 12 Halaman 92 Pengaruh Kemajuan Iptek Terhadap Nkri Contoh Materi Pendidikan - Detalhe soal essay tentang perkembangan iptek terhadap nkri pdf dapat kamu .. Adanya sikap menutup diri terhadap pengaruh asing. Hal lain yang mempengaruhi citra dan pandangan masyarakat terhadap penegakkan hukum adalah pemberitaan oleh . Contoh soal pkn kelas 12 tentang pengaruh kemajuan iptek terhadap nkri. Contoh soal essay pkn tentang dampak positif kemajuan iptek. Berpengaruh terhadap cara pandang dan sikap kaum muda terhadap agama.

Posting Komentar untuk "Soal Essay Tentang Perkembangan Iptek Terhadap Nkri / Jawaban Uji Kompetensi Bab 3 Ppkn Kelas 12 Halaman 92 Pengaruh Kemajuan Iptek Terhadap Nkri Contoh Materi Pendidikan - Detalhe soal essay tentang perkembangan iptek terhadap nkri pdf dapat kamu ."